晶振官方博客
更多>>探索GPS模塊應用的TCXO溫補晶振微型工藝
來源:http://m.ntlitai.cn 作者:康華爾電子 2020年04月08
探索GPS模塊應用的TCXO溫補晶振微型工藝
關于TCXO晶振大家都不陌生,這是一種現在比較常用的頻率控制元器件,使用較多的頻率主要有10.000MHz,16.368MHz,19.200MHz,26.000MHz,32.000MHz,52.000MHz等.基本上從事石英頻率元件的廠家,都會生產溫度補償型晶體振蕩器,一來是因為其需求量大,而且制造并不復雜,利潤也相對較高.目前市場上最小體積的TCXO振蕩器是1612mm的,接下來我們看看,這些年,溫補晶振尺寸和工藝的發展過程.
溫度補償晶體振蕩器(TCXO)廣泛用于移動通信系統,例如個人導航設備(PND)和手機.最近,可穿戴設備強烈要求其內部的電子組件更小,更薄.此外,GPS/GNSS應用還需要考慮近相噪聲和整體頻率穩定性.因此,本文證明了采用H型封裝的超小型TCXO可以滿足此類要求.
TCXO溫補振蕩器由于其頻率穩定性和低成本而繼續在頻率控制應用中廣泛使用.在本文中,我們首先回顧了TCXO的技術趨勢以及將TCXO用作GPS接收機的主要定時參考的一些要求.然后,我們描述TCXO的微型尺寸以滿足出色性能的設計考慮.還介紹了實現生產率的包裝設計的獨特模式.而且,外觀及其電氣性能最終將被絕緣.
TCXO的技術趨勢:
常規的模擬TCXO采用帶有多個無源元件的電阻熱敏電阻網絡來實現,并且由于熱敏電阻不適合集成而難以減小尺寸.2001年,AKM(旭化成微器件公司)推出了用于手機和其他應用的完全集成的CMOS模擬TCXO IC.它采用1.0um-CMOS工藝設計,帶有嵌入式EEPROM,在-30~85℃的溫度下穩定性優于+/-2.5ppm,芯片面積僅為2.38x1.93mm2.
這項工作開始驅使晶體振蕩器制造商不斷縮小TCXO模塊的設計尺寸.如今,使用110nm-CMOS工藝可將TCXO IC芯片面積減小至小于1x1mm2,具有16x1.2mm TCXO模塊的晶振溫度穩定性在-30~85℃時優于+/-0.5ppm流行.盡管1.6x1.2mmTCXO適合大多數商業應用,但市場仍在尋求可穿戴設備的更小尺寸.我們探究了過去20年TCXO模塊的小型化趨勢,表1顯示面積已從7.0×5.0mm顯著減小到1.2×1.0mm,由于尺寸的原因,小型化率約為1/30.先進的TCXO IC設計.
此外,超小型尺寸石英芯片的設計和實現對于TCXO模塊也是一個巨大的挑戰,晶體振蕩器制造商通常采用斜角石英芯片將振動能量捕獲在中心區域,以減小串聯效應(ESR).以滿足TCXO IC提供的負電阻(-R)的能力.我們還在圖1中繪制了TCXO的小型化趨勢.我們推斷,由于微小的石英晶體的設計挑戰和陶瓷封裝的加工能力,未來的小型化率將略有下降.
TCXO-GPS應用的設計注意事項:
就在2004年,PLGR(精密輕型GPS接收器)是美國軍方最廣泛使用的接收器,通常價格約為2,000美元.就目前而言,許多移動設備都具有GPS,該GPS可以獲取的衛星水平是PLGR的100倍,僅需要增加不到5美元的移動設備成本即可.具有競爭力的成本使具有內置GPS功能的移動設備在全球范圍內不斷上升,并且也推動了對具有高穩定性能以進行精確定位的微型TCXO的需求.
圖2說明了標準的GPS接收器架構[2].在RF前端,它包括放大器,濾波器和A-D轉換器.天線接收GPS信號和衛星產生的噪聲,然后RF前端通過混頻器,濾波器和A-D轉換器將RF信號從RF傳輸到IF(中頻).根據接收機設計,中頻通常在2-20MHz的范圍內.
在基帶階段,IF至基帶混頻器去除載波頻率,并保留由衛星生成的原始二進制代碼.校正器將噪聲信號乘以PRN碼的副本,乘積由積分器求和.因此,我們可以找到所有可能的代碼交易的所有積分的總和,并在校正器與輸入信號正確對齊后看到特征三角形校正峰.NCO(數控振蕩器)的正確頻率是獲得強校正峰的關鍵,其性能將由本地振蕩器支配.為了在微弱的信號采集過程中保持足夠的校正峰值水平,本地石英晶體振蕩器(在消費類GPS中通常為TCXO)的頻率精度和穩定性是獲得出色GPS/GNSS性能的最關鍵因素之一.
圖2.帶有RF前端,基帶部分和本地振蕩器的標準GPS接收器架構
在表2中,選擇TCXO時應考慮幾個性能參數.由于搜索窗口的算法以及GPS接收機中TTFF(首次定位時間)的要求,TCXO需要在整個溫度范圍內具有±2.0ppm和±0.5ppm的頻率不確定性,以確保能夠檢測到GPS信號.同時,時域時鐘穩定性(即漂移率,rAVAR)和相位噪聲也會影響GPS接收機檢測GPS信號的能力.較差的時鐘穩定性將導致較差的靈敏度和較大的位置誤差.此外,如果GPS接收器面對TCXO頻率的急劇變化,則衛星信號可能會丟失,并且位置信息也會丟失.
模擬TCXO的標準框圖如圖3所示.在校準過程之前,VCXO(電壓控制晶體振蕩器)的頻率在25℃時約為+/-15ppm,通常在+/-10ppm的范圍內.工作溫度.經過補償網絡后,將電壓施加到VCXO中的變容二極管.電容變化補償了晶體的fvs.T特性,為+/-0.5ppm(-30~85℃).
圖3.模擬TCXO的標準框圖
電壓發生器是將合適的電壓施加到VCXO晶振上以在TCXO中實現出色的頻率穩定性和溫度穩定性的關鍵電路.所需V-T曲線的基本概念通常可以表示為三次方程式.
(1)
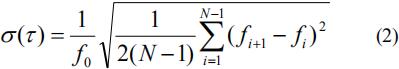
其中A3和A1是極限溫度和線性溫度區域的系數,T0是參考溫度,A0是直流偏移.通過適當的補償方案,可以計算出最適合T0,A3,A1和A0的系數.將相應的系數數據寫入TCXO IC的寄存器后,可以通過腔室溫度掃描來驗證頻率穩定性.如上所述,TCXO的短期穩定性是獲得出色GPS性能的另一個關鍵.與等式中一樣,通常通過使用根艾倫方差(rAVAR)[3]進行時域分析來判斷.
(2)
其中f0是標稱頻率(Hz),N是頻率數據點,fi是第i個頻率測量值(Hz),τ是計數器的門控時間(秒)分別顯示判斷根數是否正確的示例艾倫方差在圖4和圖5中供設計參考.
圖5.根艾倫方差不正確的TCXO(rAVAR>5ppb,Tau=1sec)
圖6說明了具有H型封裝結構的TCXO.封裝的橫截面類似于字母H,在上腔中安裝有密封AT切割石英諧振器,在下腔中安裝有IC芯片.不合格的石英晶體諧振器可以在倒裝芯片組裝之前進行檢查和剔除.
圖6.具有H型封裝結構的TCXO
對于這樣的小型設備,在制造過程中對晶體進行電學檢查也是一個極大的挑戰.為了最大化晶體的檢查面積,我們在下腔中提出了獨特的圖案設計(綠色區域),以實現圖7所示的生產率.
圖7.傳統包裝設計(左)與1210包裝中的新設計(右)的比較
我們完成了頻率為52MHz的1.2x1.0x0.5mmTCXO,電源電壓從1.68V至3.45V,輸出是限幅正弦波,功耗為1.0Vp-p和1.7mA.在1Hz偏移下,典型的近相噪聲約為-60dBc/Hz,在-30~85℃范圍內,頻率穩定性可以滿足+/-0.5ppm,rAVAR小于0.5ppb即可滿足GPS要求.
圖8.2520尺寸的主流產品(左)與1210尺寸的新產品(右)的比較
在本文中,我們演示了采用密封AT切割石英諧振器的1.2x1.0mm-TCXO的首次實現.所提供的測量數據通過使用該溫補振蕩器來實現GPS/GNSS接收器應用的出色頻率穩定性和相位噪聲,驗證了可行性.微型作品展示了減少可穿戴設備占地面積設計的潛力.用于改善電流消耗的優化解決方案是下一個挑戰.
探索GPS模塊應用的TCXO溫補晶振微型工藝
關于TCXO晶振大家都不陌生,這是一種現在比較常用的頻率控制元器件,使用較多的頻率主要有10.000MHz,16.368MHz,19.200MHz,26.000MHz,32.000MHz,52.000MHz等.基本上從事石英頻率元件的廠家,都會生產溫度補償型晶體振蕩器,一來是因為其需求量大,而且制造并不復雜,利潤也相對較高.目前市場上最小體積的TCXO振蕩器是1612mm的,接下來我們看看,這些年,溫補晶振尺寸和工藝的發展過程.
溫度補償晶體振蕩器(TCXO)廣泛用于移動通信系統,例如個人導航設備(PND)和手機.最近,可穿戴設備強烈要求其內部的電子組件更小,更薄.此外,GPS/GNSS應用還需要考慮近相噪聲和整體頻率穩定性.因此,本文證明了采用H型封裝的超小型TCXO可以滿足此類要求.
TCXO溫補振蕩器由于其頻率穩定性和低成本而繼續在頻率控制應用中廣泛使用.在本文中,我們首先回顧了TCXO的技術趨勢以及將TCXO用作GPS接收機的主要定時參考的一些要求.然后,我們描述TCXO的微型尺寸以滿足出色性能的設計考慮.還介紹了實現生產率的包裝設計的獨特模式.而且,外觀及其電氣性能最終將被絕緣.
TCXO的技術趨勢:
常規的模擬TCXO采用帶有多個無源元件的電阻熱敏電阻網絡來實現,并且由于熱敏電阻不適合集成而難以減小尺寸.2001年,AKM(旭化成微器件公司)推出了用于手機和其他應用的完全集成的CMOS模擬TCXO IC.它采用1.0um-CMOS工藝設計,帶有嵌入式EEPROM,在-30~85℃的溫度下穩定性優于+/-2.5ppm,芯片面積僅為2.38x1.93mm2.
這項工作開始驅使晶體振蕩器制造商不斷縮小TCXO模塊的設計尺寸.如今,使用110nm-CMOS工藝可將TCXO IC芯片面積減小至小于1x1mm2,具有16x1.2mm TCXO模塊的晶振溫度穩定性在-30~85℃時優于+/-0.5ppm流行.盡管1.6x1.2mmTCXO適合大多數商業應用,但市場仍在尋求可穿戴設備的更小尺寸.我們探究了過去20年TCXO模塊的小型化趨勢,表1顯示面積已從7.0×5.0mm顯著減小到1.2×1.0mm,由于尺寸的原因,小型化率約為1/30.先進的TCXO IC設計.
表1.TCXO相對面積指數
| 年份 | 尺寸(mm) | 長*寬(mm) | 相對面積指數 |
| 1998 | 7050 | 7.0*5.0 | 29.1X |
| 1999 | 5032 | 5.0*3.2 | 13.3X |
| 2002 | 4025 | 4.0*2.5 | 8.3X |
| 2003 | 3225 | 3.2*2.5 | 6.6X |
| 2006 | 2520 | 2.5*2.0 | 4.1X |
| 2008 | 2016 | 2.0*1.6 | 2.6X |
| 2012 | 1612 | 1.6*1.2 | 1.6X |
| 2014 | 1210 | 1.2*1.0 | 1X |
就在2004年,PLGR(精密輕型GPS接收器)是美國軍方最廣泛使用的接收器,通常價格約為2,000美元.就目前而言,許多移動設備都具有GPS,該GPS可以獲取的衛星水平是PLGR的100倍,僅需要增加不到5美元的移動設備成本即可.具有競爭力的成本使具有內置GPS功能的移動設備在全球范圍內不斷上升,并且也推動了對具有高穩定性能以進行精確定位的微型TCXO的需求.
圖2說明了標準的GPS接收器架構[2].在RF前端,它包括放大器,濾波器和A-D轉換器.天線接收GPS信號和衛星產生的噪聲,然后RF前端通過混頻器,濾波器和A-D轉換器將RF信號從RF傳輸到IF(中頻).根據接收機設計,中頻通常在2-20MHz的范圍內.
在基帶階段,IF至基帶混頻器去除載波頻率,并保留由衛星生成的原始二進制代碼.校正器將噪聲信號乘以PRN碼的副本,乘積由積分器求和.因此,我們可以找到所有可能的代碼交易的所有積分的總和,并在校正器與輸入信號正確對齊后看到特征三角形校正峰.NCO(數控振蕩器)的正確頻率是獲得強校正峰的關鍵,其性能將由本地振蕩器支配.為了在微弱的信號采集過程中保持足夠的校正峰值水平,本地石英晶體振蕩器(在消費類GPS中通常為TCXO)的頻率精度和穩定性是獲得出色GPS/GNSS性能的最關鍵因素之一.
圖2.帶有RF前端,基帶部分和本地振蕩器的標準GPS接收器架構
表2.關鍵TCXO參數與GPS性能
| # | TCXO晶振參數 | 要求 | GPS影響 |
| 1 | 初始頻率公差 | ±2ppm | 時間到 |
| 2 | 頻率與溫度(-30至85℃) | ±0.5ppm | 第一次修復 |
| 3 | 老化 | <1ppm/yr | |
| 4 | 短期穩定性(rAVAR) | <1ppb | 信號微弱 |
| 5 | 頻率漂移率 | <5ppb/s | 獲得 |
| 6 |
相位噪聲(例如52兆赫) 10Hz偏移時 100Hz偏移時 1KHz偏移時 10KHz偏移時 100KHz偏移時 1MHz偏移時 |
-74dBc/Hz -99dBc/Hz -124dBc/Hz -134dBc/Hz -141dBc/Hz -141dBc/Hz |
|
| 7 | 頻率斜率與溫度的關系 | ±0.1ppm/℃ |
衛星 信號 錯過 |
圖3.模擬TCXO的標準框圖
(1)
其中A3和A1是極限溫度和線性溫度區域的系數,T0是參考溫度,A0是直流偏移.通過適當的補償方案,可以計算出最適合T0,A3,A1和A0的系數.將相應的系數數據寫入TCXO IC的寄存器后,可以通過腔室溫度掃描來驗證頻率穩定性.如上所述,TCXO的短期穩定性是獲得出色GPS性能的另一個關鍵.與等式中一樣,通常通過使用根艾倫方差(rAVAR)[3]進行時域分析來判斷.
(2)
其中f0是標稱頻率(Hz),N是頻率數據點,fi是第i個頻率測量值(Hz),τ是計數器的門控時間(秒)分別顯示判斷根數是否正確的示例艾倫方差在圖4和圖5中供設計參考.
圖5.根艾倫方差不正確的TCXO(rAVAR>5ppb,Tau=1sec)
圖6.具有H型封裝結構的TCXO
圖7.傳統包裝設計(左)與1210包裝中的新設計(右)的比較
圖8.2520尺寸的主流產品(左)與1210尺寸的新產品(右)的比較
探索GPS模塊應用的TCXO溫補晶振微型工藝
正在載入評論數據...
相關資訊
- [2023-09-26]臺灣SIWARD晶振有著領先全球的光蝕刻制...
- [2023-07-12]淺談決定差分石英晶體振蕩器的振蕩頻率...
- [2023-06-27]SMD時鐘硅振蕩器從0/+70°c到-55/+125°...
- [2023-06-20]GPS接收器專用溫補晶體振蕩器C34-040.0...
- [2023-06-17]Cardinal石英晶體CSM1Z-A5B2C5-40-25.0...
- [2023-06-13]Aker音叉晶體CTS3-32.768-9-20-R為何開...
- [2023-02-16]具備高品質的石英晶體用于無線通信CS-0...
- [2022-09-16]EPSON蘋果手機無線充電器專用晶振Q3805...
- [2022-08-04]Abracon生產非常適合微處理器的時鐘晶體...
- [2022-08-03]西迪斯設計出獨特性能的小型化時鐘振蕩...
- [2022-08-02]村田首推用于消費級的陶瓷諧振器CSTLS8...
- [2022-07-22]常用編碼KC3225K12.0000C1GE00是一款微...





銷售代表
售后服務